- A+
▲第一作者:冯四全
通讯作者:丁云杰、宋宪根、林祥松
通讯单位:中国科学院大连化学物理研究所/浙江嘉兴学院
论文DOI:10.1021/acscatal.0c03933
本文从均相多相化和金属载体表面官能团电子相互作用的角度出发,利用简单、高效、普适的贵金属纳米颗粒单原子级分散方法,通过调控载体表面氧官能团的配位,成功制备了一种优于均相催化的多相炭载Rh1/AC{attr}3205{/attr}。如图 Scheme 1 所示。
▲Scheme 1, The graphic abstract of single site Rh catalyst with superior activity improvement via electron interaction between metal and support surface carbonyl groups.
多相单金属活性位点催化剂(单原子催化剂),凭借其近100%的金属原子效率和明确简单的分子模型,成为了当代催化研究的热点。同时,该催化剂由于结合了均相催化剂单一活性位和多相催化剂易分离的优势,被认为是研究均相催化和多相催化的桥梁。此外,其简单明确的分子结构为理论计算研究分子反应机理提供了很大的便利和优势。同时,在均相催化多相化过程中,许多在均相中调控催化反应含N、O、P、S的有机配体也可以随之多相化,并能在多相反应中发挥出与均相催化相当的助催化效果,如提高催化剂的催化活性,调变催化剂的产物选择性,或者降低反应过程的能垒等等。在这一思路的引导之下,查阅文献发现,Minkee Choi曾报道利用均相多相化,将单原子Pt锚定在含S掺杂的多孔碳载体上,提高了催化剂的催化活性,并改变了Pt的ORR反应机理,反应生成H2O而不是遵循传统均相催化生成H2O2 (Nat Commun 7, 10922 (2016)). 类似,Javier Pérez-Ramírez等人将单原子Pd锚定于含N的石墨型氮化碳上,在Suzuki 偶联反应中表现出优于均相催化的反应活性(Nature Nanotech 13, 702–707 (2018))。
浙江大学肖丰收等团队也报道,含P的多孔有机聚合物负载的单原子Rh在烯烃氢甲酰化反应中表现出了优于均相催化的反应活性(J. Am. Chem. Soc. 2015, 137, 5204−5209.)。Franklin (Feng) Tao等也报道,ZSM-5负载的单原子Rh在甲烷低温转化反应过程中表现出了优于均相催化近1000倍的催化活性(Nat Commun 9, 1231 (2018))。
在本文中,我们于2019年提出贵金属纳米颗粒单原子级分散方法 (Nat. Commun. (2019) 10:5281),制备了活性炭负载单原子Rh基催化剂,该催化剂在甲醇羰基化反应过程中,表现出了优于纳米颗粒和均相催化剂的催化活性。炭载体表面的羰基(-C=O)氧官能团,被解析和证明是该催化中单原子Rh的最可能的锚定位点,羰基上的孤对电子通过金属载体相互作用成功促进了单原子Rh在多相中的催化活性。
从均相多相化出发,构建一种优于均相催化的多相单原子催化剂。
多相单金属活性位点Rh1/AC催化剂制备:
▲Scheme 1 Fabrication scheme for single metal site Rh1/AC catalyst.
如Scheme1所示,通过简单浸渍、焙烧、还原等方法制得活性炭负载纳米金属Rh/AC催化剂NPs,通过CO/CH3I热处理,可以原位高效将活性炭负载的Rh纳米颗粒进行单原子级分散,从而制得炭载单金属活性位点Rh1/AC催化剂。这一方法简单高效,对其他炭载Ir、Pt、Pd、Ru、Ag等贵金属纳米颗粒的单原子级分散制备具有很好的普适性。详细机理过程,请参考10:5281,https://doi.org/10.1038/s41467-019-12965-1.
催化剂结构解析及其分子结构鉴定:
▲Figure 1 (a) HAADF-STEM image of fresh Rh1/AC, (b) EXAFS comparison of the fresh and spent Rh1/AC catalysts in R space (the experimental (solid line) and fitted (dashed line) curves of k3-weight spectra), (c) HAADF-STEM image of spent Rh1/AC, (d) XANES comparison of the fresh and spent Rh1/AC catalyst with the standard sample of Rh2(CO)4Cl2 and RhO2.
如图Fig.1a所示,球差电镜显示制得Rh1/AC催化剂中,Rh为单原子级分散。通过EXAFS (Fig.1b) 等手段对其进行金属键配位情况解析,确认该样品中Rh整体为单原子级分散,且该单金属原子Rh以Rh(CO)2I3(O-AC)的分子结构存在。在这一分子结构中,O-AC为活性炭表面的含O官能团, 该官能团被证明是可以抑制单原子Rh团聚。但由于活性炭表面的含O官能团种类繁多,因此要真正明确Rh的锚定位点十分困难。
本文中,作者利用C 1s和O 1s XPS, 以及 O K-edge XANES, Raman,EDS Mapping等表征,确定了活性炭表面碳链苯环和缺陷组成。在这些炭链苯环上均匀地分布着各种各样的含氧官能团。因此,鉴定其真正的锚定位点对于研究该Rh1/AC催化剂的活性位结构以及反应机理至关重要。
▲Figure 2 Optimized molecular structure models of single-Rh-site accommodated on different oxygen-containing groups of AC support using DFT. The single-Rh-sites of (a) Rh(CO)2I2, (b) Rh(CO)2I3 and (c) Rh(CO)I4 accommodate on carbonyl group of >C=O, respectively. The single-Rh-sites of (d) Rh(CO)2I2, (e) Rh(CO)2I3 and (f) Rh(CO)I4 accommodate on the hydroxyl group of >C-OH. The single-Rh-sites of (g) Rh(CO)2I2, (h) Rh(CO)2I3 and (i) Rh(CO)I4 accommodate on the ether group of >C-O-C<. The solid ball of cyan, white, pink, purple, and red colors represent C, H, Rh, I, O atoms, respectively. The bond length unit of Rh with the oxygen functional groups is Å.
基于XPS等结果,利用DFT理论计算搭建了羰基(-C=O)、羟基(-OH)、以及醚(-C-O-C-)氧官能团对单金属活性位点的分子模型,研究其和Rh的配位强弱能力。如图Fig.2所示,羰基氧官能团被证明与Rh的分子模型包括Rh(CO)2I2,Rh(CO)2I3, 以及Rh(CO)I4配位时最强,同时其能量也是最低。这说明从能量最低原理出发,羰基(-C=O)很可能是单原子Rh最佳锚定位点,其形成的单核络合物结构也是最稳定。热分解实验证实了活性炭表面羰基(-C=O)氧官能团的确是最稳定的,其热分解温度最高。
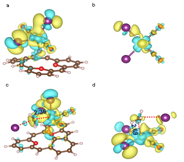
基于以上事实,作者搭建了碳载体表面羰基(-C=O)氧官能团锚定的Rh分子模型[Rh(CO)2I2(O=AC)]-。基于该模型以及该模型的过渡态结构,利用DFT 探究均相和多相结构分子模型中的电荷密度变化,以直观反映载体表面羰基(-C=O)氧官能团和单原子Rh之间的电子相互作用。如图Fig.3所示,[Rh(CO)2I2(O=AC)]-相较均相[Rh(CO)2I2]-结构拥有更加丰盈的电子密度分布,这应得益于载体表面羰基氧(-C=O)上孤电子对Rh的贡献。同理,在[I-CH3--Rh(CO)2I2(O=AC)]#的过渡态结构中,Rh-CH3相较于均相的[I-CH3--Rh(CO)2I2]#分子模型Rh-CH3键长变短,这说明均相中单点催化剂[Rh(CO)2I2)]-被炭载体表面羰基氧官能团(-C=O)多相负载化后具有更强的电荷密度,有利于CH3I的氧化加成。因为CH3I的氧化加成被证明是甲醇羰基化反应的速控步骤,供电子基团能够促进该步反应的进行。因此,供电子羰基O官能团多相化负载的[Rh(CO)2I2)]-理论上有利于提高甲醇羰基化的反应活性。
反应数据及其反应机理解释
▲Figure 3 Charge density of (a) [Rh(CO)2I2(O=AC)]-, (b) [Rh(CO)2I2]-, (c) transition state [I-CH3--Rh(CO)2I2(O=AC)]# and (d) [I-CH3--Rh(CO)2I2]#. Blue and yellow colors represent electrons losing and gaining, respectively. The solid ball of sepia, white, pink, purple, and red colors represent C, H, Rh, I and O atoms, respectively.
为证明这一点,作者考察了均相[Rh(CO)2I2)]-催化剂和多相单点Rh1/AC催化剂对于甲醇气相羰基化反应的活性。如图Fig.4a-b和Table S3所示,在相同的反应温度以及反应压力下,多相Rh1/AC的反应活性是均相[Rh(CO)2I2)]-催化剂的3倍,是对应活性炭载Rh纳米颗的30和对应二氧化硅负载Rh纳米颗粒的300倍,并在100 h的高温高压反应中未见活性降低。通过测试不同反应温度对应催化活性,以及Arrhenius 方程计算均相[Rh(CO)2I2)]-催化剂和多相单点Rh1/AC催化剂对于甲醇气相羰基化反应的活化能(Ea),发现多相Rh1/AC催化剂的反应能垒更低为0.91 eV, 而均相[Rh(CO)2I2)]-催化剂的活化能为1.54 eV, 降低了41%。反应后Rh1/AC的球差电镜显示Fig.1c显示, 单点Rh在反应后仍然为单原子级分散,且反应后Rh1/AC的EXAFS结果显示, 反应后Rh以Rh(CO)2I2(O=AC)的分子结构存在,证明了CH3I的氧化加成在多相中仍然为速控步骤。事实上,通过测试CH3I浓度对Rh1/AC催化剂的反应活性关系发现,其为一级正相关关系,表明CH3I氧化加成步骤十分重要。
▲Figure 4 Catalytic activity (STY, TOF) and apparent activation energy (Ea) test. (a) The catalytic activity comparison of Rh1/AC with homogeneous catalyst [Rh(CO)2I2]-. (b) The catalytic activity (STY) of single Rh site catalyst (Rh1/AC) and supported NPs metal catalyst (Rh/SiO2). The Arrhenius plots of (c) Rh1/AC and (d) [Rh(CO)2I2]- catalysts for methanol carbonylation.
因此,基于多相单点Rh1/AC催化剂优异的催化活性及其明确的分子结构,作者利用DFT理论计算,考察了均相[Rh(CO)2I2]-催化剂和多相Rh1/AC催化剂上的分子反应过程和能垒变化。如图Fig.5和 Fig.S11所示,在CH3I氧化加成步骤中,多相Rh1/AC催化剂的反应能垒为0.70 eV,大大低于均相[Rh(CO)2I2]-催化剂的1.70 eV,这和前面的反应数据,以及活化能数据的结论一致。且在多相单点Rh1/AC催化剂的整个反应机理过程中,CO迁移插入形成乙酰基CH3CO的能垒是0.57eV, CH3COI 还原消除的能垒是0.56 eV, 再次证明了CH3I的氧化加成是多相Rh1/AC催化剂上甲醇羰基化反应的速控步骤。
通过炭载贵金属纳米金属颗粒单原子级分散和金属载体表面羰基氧官能团相互作用,制备了优于均相[Rh(CO)2I2]-催化剂3倍,活性炭负载Rh纳米颗粒NPs 30倍,二氧化硅负载Rh纳米颗粒NPs 300倍的活性炭负载单金属活性位点Rh1/AC催化剂。详细论证了该单点催化剂在活性炭表面最可能的羰基氧(-C=O)官能团锚定位点,并通过DFT理论计算等对该Rh1/AC单原子催化剂,及其金属载体表面官能团相互作用的供电子过程进行研究,明确了活性炭表面羰基氧(-C=O)官能团上氧的孤电子对会增加与其配位的Rh中心原子的电荷密度,降低其在甲醇羰基化反应过程中速控步CH3I氧化加成的反应能垒,从而促进非均相Rh1/AC催化剂的反应活性。基于均相[Rh(CO)2I2]-催化剂和多相Rh1/AC催化剂的DFT反应机理计算结果证实了上述猜想。以上工作全面深入探究了如何构建高效单原子Rh1/AC催化剂,并通过单原子催化剂金属载体表面官能团电子相互作用,探究单点Rh1/AC催化剂的几何分子结构,增加了单原子催化剂金属载体表面官能团相互作用的认识,同时提高了对均相催化多相化过程的了解。
(丁云杰团队,长期从事合成气转化和精细化工催化的应用基础研究和新催化过程工程化研究,聚焦于高效纳米复合催化剂和多相单点催化剂的创制,致力于实验室小试到工业工程化的应用。业已完成3套20万吨/年合成气制合成油蜡钴基催化剂列管式固定床反应工艺的工业化;15万吨/年合成气制柴油钴基催化剂浆态床反应工艺的工业示范;3万吨/年乙醇胺临氢氨化制乙撑胺工业化,技术出口国外;30万吨/年醋酸-丙烯酯化及其加氢制乙醇和异丙醇工业化,为世界第一套实现乙醇和异丙醇分离(纯度为99.9%以上)的具有原子经济性的工业化生产装置;2 万吨/年对苯二甲酸二甲酯加氢制1,4-环己烷二甲醇(CHDM)工业化,打破国外公司的技术和产品的垄断;15万吨/年合成气制高碳醇浆态床反应工艺的工业示范;3万吨/年醋酸加氢制乙醇工业示范;1000吨/年合成气制乙醇工业中试;8000吨/年异丙醇胺临氢氨化制1,2-丙二胺工业化;甲醇/合成气非铑催化剂制乙醇5立升单管放大;乙烯多相氢甲酰化及其加氢制正丙醇立升级单管放大试验和5万吨/年工业化, 采用径向固定床反应工艺进行氢甲酰化反应,不仅实现了无溶剂工业化生产、绿色环保,而且实现了催化剂核心技术和工艺关键技术的有机集成,解决了有效利用大量低品位反应热、相催化多相化的配体和活性金属组分易流失等难题,为世界首套单原子催化剂的工业应用。同时,在学术方面,丁云杰研究员在Nature Materials, Nature Communication, Advance Materials, JACS, Angew. Chem. Int., Chem, ACS CATA, Green Chem., Journal of Catalysis 等国际知名期刊发表学术论文170余篇,申请发明专利200余件, 发表著作3部。

目前评论:0